Soal Kimia Kelas 11 Materi pH Asam dan Basa Lemah + Kunci Jawaban
Hai teman-teman selamat datang kembali di blog saya, avkimia.com. Kali ini saya ingin bagikan kepada teman-teman soal kimia kelas 11 materi pH asam dan basa lemah beserta kunci jawabannya.
Soal ini dapat digunakan sebagai latihan soal untuk kamu yang sudah belajar tentang pH asam basa lemah di sekolah. Tentunya latihan soal dapat meningkatkan pemahaman kamu tentang materi ini.
Atau bagi bapak ibu guru kimia dapat menggunakan soal ini sebagai latihan di kelas untuk siswanya saat mengajarkan materi pH asam basa lemah.
Semoga soal-soal yang saya berikan di bawah ini bermanfaat bagi kamu yang sudah berkunjung ke blog saya. Berikut adalah soal-soalnya.
Soal 1
Pernyataan berikut yang merupakan ciri-ciri dari asam lemah kecuali……
A. Konsentrasi ion H+ di dalam larutannya tinggi
B. Terionisasi sebagian di dalam air
C. Memiliki harga pH tinggi
D. Derajat ionisasi nya berkisar antara 0 sampai dengan 1
E. Dalam larutannya terdapat molekul-molekul asam, ion H+ dan ion sisa asam
Pembahasan:
Soal 2
Tersedia senyawa basa dengan derajat ionisasi sebagai berikut.
(1) NH4OH, derajat ionisasi = 0,05
(2) Al(OH)3, derajat ionisasi = 0,03
(3) Fe(OH)2, derajat ionisasi = 0,005
(4) NH3, derajat ionisasi = 0,01
Urutan basa diatas dimulai dari yang paling kuat ditunjukkan oleh nomor…….
A. 3 - 4 - 2 - 1
B. 1 - 3 - 4 - 2
C. 1 - 2 - 3 - 4
D. 1 - 2 - 4 - 3
E. 3 - 2 - 4 - 1
Pembahasan:
Soal 3
Tabel dibawah ini memperlihatkan harga tetapan kesetimbangan beberapa asam lemah bervalensi satu.
Berdasarkan tabel diatas asam lemah yang paling kuat dan asam lemah yang paling lemah berturut-turut adalah ……
A. HF dan HCN
B. HF dan HClO4
C. HNO2 dan HCN
D. HNO2 dan CH3COOH
E. HClO dan HF
Pembahasan:
Soal 4
Tetapan ionisasi untuk asam lemah HCN adalah 4,9 x 10^-10. Jika larutan HCN mempunyai konsentrasi 0,1 M maka pH larutan tersebut adalah…….
A. 3 - log 7
B. 4 - log 7
C. 5 - log 7
D. 6 - log 7
E. 7 - log 7
Soal 5
Tersedia larutan NH4OH dengan pH = 10 dan tetapan kesetimbangan basa nya adalah 1 x 10^-5. Molaliras larutan NH4OH tersebut adalah…….
A. 0,003 M
B. 0,002 M
C. 0,001 M
D. 0,01 M
E. 0,02 M
Pembahasan:
Nah itulah 11 buah soal kimia materi menghitung pH larutan asam dan basa lemah yang dapat saya bagikan kepada kamu. Semoga soal-soal ini bermanfaat bagi kamu baik sebagai media latihan atau evaluasi pembelajaran di kelas.
Terima kasih sudah berkunjung ke blog ini dan sampai jumpa lagi dilain artikel.
Oh ya kunci jawaban sekaligus pembahasan akan saya upload di artikel terpisah yang dapat kalian kunjungi lewat link berikut ini. Mohon tunggu sampai link-nya aktif ya.
Soal ini dapat digunakan sebagai latihan soal untuk kamu yang sudah belajar tentang pH asam basa lemah di sekolah. Tentunya latihan soal dapat meningkatkan pemahaman kamu tentang materi ini.
Atau bagi bapak ibu guru kimia dapat menggunakan soal ini sebagai latihan di kelas untuk siswanya saat mengajarkan materi pH asam basa lemah.
Semoga soal-soal yang saya berikan di bawah ini bermanfaat bagi kamu yang sudah berkunjung ke blog saya. Berikut adalah soal-soalnya.
Soal 1
Pernyataan berikut yang merupakan ciri-ciri dari asam lemah kecuali……
A. Konsentrasi ion H+ di dalam larutannya tinggi
B. Terionisasi sebagian di dalam air
C. Memiliki harga pH tinggi
D. Derajat ionisasi nya berkisar antara 0 sampai dengan 1
E. Dalam larutannya terdapat molekul-molekul asam, ion H+ dan ion sisa asam
Pembahasan:
Pernyataan A = salah
Kekuatan asam ditentukan oleh banyak sedikitnya ion H + dalam larutan. Di dalam larutan asam lemah, jumlah ion H+ sedikit karena senyawa asam lemah yang mengion sebagian di dalam air.
Oleh karena itulah kekuatan asamnya juga lemah.
Pernyataan B = benar
Asam lemah adalah asam yang mengion sebagian di dalam air. Hanya sebagian senyawanya saja yang terurai menjadi ion-ion sementara sebagian lagi tetap berada dalam bentuk molekul.
Pernyataan C = benar
Untuk larutan asam, pH berbanding terbalik dengan kekuatan asam.
Nilai pH untuk asam lemah lebih tinggi dibandingkan akan kuat. pH tinggi menunjukkan bahwa konsentrasi H+ dalam larutan rendah sedangkan pH rendah menunjukkan bahwa konsentrasi H+ di dalam larutan tinggi.
Pernyataan D = benar
Kemampuan ionisasi zat-zat dilambangkan dengan derajat ionisasi. Karena asam lemah hanya mengion sebagian maka derajat ionisasinya berkisar antara 0 hingga 1 atau antara 0% hingga 100%.
Pernyataan E = benar
Berikut adalah persamaan reaksi yang menunjukkan proses ionisasi dari suatu asam lemah.
Contoh: CH3COOH
CH3COOH <=> CH3COO- + H+
Pada persamaan reaksi diatas digunakan tanda panah dua arah yang menunjukkan bahwa ketiga zat di atas terdapat di dalam larutan:
- Molekul asam yang tidak mengion = CH3COOH
- Ion sisa asam = CH3COO-
- Ion H+
Jawaban: A
Tersedia senyawa basa dengan derajat ionisasi sebagai berikut.
(1) NH4OH, derajat ionisasi = 0,05
(2) Al(OH)3, derajat ionisasi = 0,03
(3) Fe(OH)2, derajat ionisasi = 0,005
(4) NH3, derajat ionisasi = 0,01
Urutan basa diatas dimulai dari yang paling kuat ditunjukkan oleh nomor…….
A. 3 - 4 - 2 - 1
B. 1 - 3 - 4 - 2
C. 1 - 2 - 3 - 4
D. 1 - 2 - 4 - 3
E. 3 - 2 - 4 - 1
Pembahasan:
Hubungan derajat ionisasi dengan kekuatan basa adalah sebanding. Artinya m, jika derajat ionisasinya besar, maka terdapat banyak ion OH- di dalam larutan dan basanya semakin kuat.
Maka urutan senyawa basa di atas dari yang paling kuat adalah: 1 - 2 - 4 - 3
Jawaban: D
Soal 3
Tabel dibawah ini memperlihatkan harga tetapan kesetimbangan beberapa asam lemah bervalensi satu.
Berdasarkan tabel diatas asam lemah yang paling kuat dan asam lemah yang paling lemah berturut-turut adalah ……
A. HF dan HCN
B. HF dan HClO4
C. HNO2 dan HCN
D. HNO2 dan CH3COOH
E. HClO dan HF
Pembahasan:
Konstanta ionisasi asam lemah atau Ka juga memiliki hubungan dengan kekuatan asam lemah. Asam lemah dengan Ka yang paling besar adalah asam lemah yang paling kuat dibandingkan asam lemah dengan Ka yang kecil.
Maka diantara senyawa asam lemah di atas yang paling kuat adalah HF dan yang paling lemah adalah HCN.
Jawaban: A
Soal 4
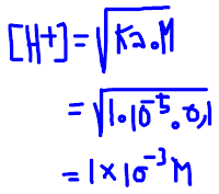
Tetapan ionisasi untuk asam lemah HCN adalah 4,9 x 10^-10. Jika larutan HCN mempunyai konsentrasi 0,1 M maka pH larutan tersebut adalah…….
A. 3 - log 7
B. 4 - log 7
C. 5 - log 7
D. 6 - log 7
E. 7 - log 7
Pembahasan:
Hubungan Ka dengan derajat ionisasi.
Dari rumus diatas kita bisa mencari Ka dari HCN.
Konsentrasi H+ asam lemah
pH = - log [H+] = - log 7 x 10-⁴ = 4 - log 7
Jawaban: B
Soal 5
Tersedia larutan NH4OH dengan pH = 10 dan tetapan kesetimbangan basa nya adalah 1 x 10^-5. Molaliras larutan NH4OH tersebut adalah…….
A. 0,003 M
B. 0,002 M
C. 0,001 M
D. 0,01 M
E. 0,02 M
Pembahasan:
NH4OH = basa lemah
pH = 10, pOH = 14 - 10 = 4
Maka, konsentrasi OH- dalam larutan:
= 1 x 10-⁴ M
Mencari molaritas basa dari rumus konsentrasi OH- basa lemah.
Jawaban: C
Soal 6
HCN adalah asam lemah dengan derajat ionisasi sebesar 0,05. Jika terdapat larutan HCN dengan konsentrasi 0,2 M, maka konsentrasi H+ yang terkandung dalam larutan tersebut sebesar. . . .
A. 1 x 10^-1 M
B. 1 x 10^-2 M
C. 1 x 10^-3 M
D. 1 x 10^-4 M
E. 1 x 10^-5 M
Pembahasan:
HCN adalah asam lemah dengan derajat ionisasi sebesar 0,05. Jika terdapat larutan HCN dengan konsentrasi 0,2 M, maka konsentrasi H+ yang terkandung dalam larutan tersebut sebesar. . . .
A. 1 x 10^-1 M
B. 1 x 10^-2 M
C. 1 x 10^-3 M
D. 1 x 10^-4 M
E. 1 x 10^-5 M
Pembahasan:
Mencari Ka
Mencari konsentrasi H+
Jawaban: B
Soal 7
Larutan basa MOH 0,02 M terionisasi sebanyak 2%. pH larutan basa tersebut adalah…….
A. 2 - log 4
B. 4 - log 2
C. 4 + log 2
D. 10 - log 2
E. 10 + log 4
Pembahasan:
Karena di soal diketahui derajat ionisasi yang kecil dari 100%) basa MOH adalah basa lemah. Basa kuat mengion sempurna di dalam air sehingga biasanya tidak perlu diketahui derajat ionisasinya atau derajat ionisasinya adalah 100%.
Mencari Kb MOH:
Angka derajat ionisasi yang kita gunakan dalam perhitungan diatas bukan yang dalam persen tetapi dalam angka (antara 0 - 1).
Mencari konsentrasi OH- dalam larutan:
pOH = - log [OH-] = - log 4 x 10-⁴ = 4 - log 4
pH = 14 - pOH = 14 - (4 - log 4) = 10 + log 4
Jawaban: E
Soal 8
Asam lemah HX dengan konsentrasi tertentu memiliki pH 4 - log 2. Besarnya derajat ionisasi untuk asam HX tersebut adalah……(Ka HX = 2 x 10^-6)
A. 0,01
B. 0,02
C. 0,03
D. 0,04
E. 0,05
Pembahasan:
pH = 4 - log 2
[H+] = 2 x 10-⁴ M
Mencari konsentrasi larutan asam HX
Mencari derajat ionisasi
Jawaban: A
Soal 9
1,2 gram CH3COOH (Ar C = 12, H = 1, O = 6) dilarutkan ke dalam 200 ml air sehingga terbentuk larutan dengan pH…….(Ka = 1 x 10^-5)
A. 5
B. 4
C. 3
D. 2
E. 1
Pembahasan:
Mencari mol CH3COOH yang dilarutkan.
mol = gr/Mr
mol = 1,2/60 = 0,02 mol
Mencari molaritas/konsentrasi larutan yang terbentuk.
M = mol/V
M = 0,02 mol/0,2 L
M = 0,1 M
Mencari konsentrasi H+ asam lemah
Maka:
pH = - log [H+] = - log 1 x 10-³ M = 3
Jawaban: C
Soal 10
x gram NH4OH (Mr = 49) dilarutkan dalam 250 ml air sehingga terbentuk larutan dengan pH = 11 + log 8. Jika harga Kb NH4OH 4 x 10^-4, maka nilai x adalah……
A. 0,245 gram
B. 0,49 gram
C. 0,98 gram
D. 1,96 gram
E. 3,92 gram
Pembahasan:
Mencari konsentrasi OH- dalam larutan
pH = 11 + log 8
pOH = 14 - (11 + log 8) = 3 - log 8
[OH-] = 8 x 10-³ M
Mencari molaritas larutan:
Mencari mol NH4OH yang terlarut
mol = M x V = 0,16 M x 0,25 L = 0,04 mol
Mencari massa NH4OH yang terlarut
= mol x Mr
= 0,04 x 49
= 1,96 gram
Jawaban: D
Soal 11
Untuk mengubah pH larutan asam benzoat dari 4 menjadi 5 maka larutan tersebut harus diencerkan sebanyak…….kali
A. 10
C. 20
C. 50
D. 100
E. 200
Pembahasan:
Asam benzoat = asam lemah
Untuk menaikkan pH asam lemah sebanyak 1 angka maka harus dilakukan pengenceran sebanyak 100 kali.
Jawaban: D
Terima kasih sudah berkunjung ke blog ini dan sampai jumpa lagi dilain artikel.
Oh ya kunci jawaban sekaligus pembahasan akan saya upload di artikel terpisah yang dapat kalian kunjungi lewat link berikut ini. Mohon tunggu sampai link-nya aktif ya.












Posting Komentar untuk "Soal Kimia Kelas 11 Materi pH Asam dan Basa Lemah + Kunci Jawaban"